photo4u.it

Iniziative in corso che potrebbero interessarti:
Contest - La nostra foto migliore del 2025

Matematici ed esperti di excel

 
Nuovo argomento   Intervieni in questo argomento    Indice del forum -> Off-Topic
Mostra argomento precedente :: Mostra argomento successivo  
Autore Messaggio
Granato
utente attivo


Iscritto: 15 Giu 2006
Messaggi: 9591
Località: Roma

MessaggioInviato: Dom 18 Mar, 2012 11:34 pm    Oggetto: Matematici ed esperti di excel Rispondi con citazione

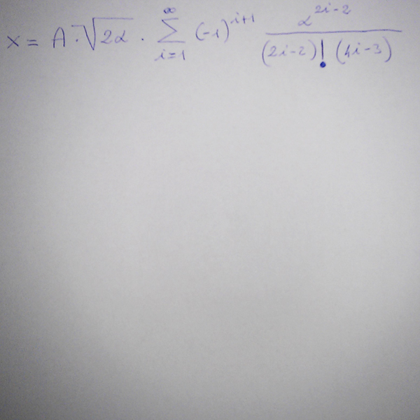
Ciao a tutti!

Dovrei implementare su excel, questa formula che vi ho allegato in basso...

solo che non ho idea di come gestire la cosa perchè è presente un simbolo di sommatoria e di fattoriale...

qualcuno di voi saprebbe darmi delle indicazioni?

grazie mille! Crying or Very sad



IMAG0165.jpg
 Descrizione:
 Dimensione:  154 KB
 Visualizzato:  File visto o scaricato 503 volta(e)

IMAG0165.jpg


Vai ad inizio pagina
Vai a fine pagina
Mostra il profilo utente Galleria utente Invia un messaggio privato Bacheca utente
d.kalle
moderatore


Iscritto: 29 Mgg 2008
Messaggi: 20556
Località: Thiene

MessaggioInviato: Lun 19 Mar, 2012 10:26 am    Oggetto: Rispondi con citazione

Non saprei aiutarti.
Di certo la vignettatura e' evidente, che fondo di bottiglia hai usato? Mandrillo

_________________
davide
(so contare solo fino a 2,8)

Vai ad inizio pagina
Vai a fine pagina
Mostra il profilo utente Galleria utente Invia un messaggio privato Bacheca utente
Granato
utente attivo


Iscritto: 15 Giu 2006
Messaggi: 9591
Località: Roma

MessaggioInviato: Lun 19 Mar, 2012 10:28 am    Oggetto: Rispondi con citazione

Cellulare Very Happy
Vai ad inizio pagina
Vai a fine pagina
Mostra il profilo utente Galleria utente Invia un messaggio privato Bacheca utente
Pietro Super Pro
bannato


Iscritto: 03 Mar 2011
Messaggi: 3327

MessaggioInviato: Lun 19 Mar, 2012 10:32 am    Oggetto: Rispondi con citazione

d.kalle ha scritto:
Non saprei aiutarti.
Di certo la vignettatura e' evidente, che fondo di bottiglia hai usato? Mandrillo



LOL LOL LOL LOL LOL

Ma una risposta seria mai?

_________________
Chi non sa fare una foto interessante con un apparecchio da poco prezzo...ben difficilmente otterrà qualcosa di meglio con la fotocamera dei suoi sogni.
Ho sempre pensato che la fotografia sia come una barzelletta: se la devi spiegare non è venuta bene.
Vai ad inizio pagina
Vai a fine pagina
Mostra il profilo utente Galleria utente Invia un messaggio privato Bacheca utente
Mostra i messaggi a partire da:   
Nuovo argomento   Intervieni in questo argomento    Indice del forum -> Off-Topic Tutti gli orari del forum sono CET (Europa)
Pag. 1 di 1

 
Vai a:  
Non puoi iniziare nuovi argomenti
Non puoi rispondere ai messaggi
Non puoi modificare i tuoi messaggi
Non puoi cancellare i tuoi messaggi
Non puoi votare nei sondaggi
Non puoi allegare files in questo forum
Puoi scaricare gli allegati in questo forum



Tutti i contenuti presenti sul sito sono di proprieta' esclusiva degli autori, sono vietate la riproduzione e la distribuzione degli stessi senza previa esplicita autorizzazione.

Visualizza la policy con cui vengono gestiti i cookie.

© 2003, 2016 photo4u.it - contatti - based on phpBB - Andrea Giorgi